

新闻网讯(通讯员任艺萱)精准诊疗是肿瘤治疗的发展方向,既达到治愈肿瘤之目的、又能保全器官功能的理想模式是现代医疗的追求目标。对于早期食管癌,保全食管的疗法逐渐受到医疗界的重视,该疗法的成功施

新闻网讯(通讯员历轩)7月1日,西南茶马古道文献资料整理与遗产保护研究学术研讨会在武汉大学举行。本次会议是基于国家社会科学基金重大项目:“一带一路”视野下的西南茶马古道文献资料整理与遗产保护研

新闻网讯(通讯员龚于芹)6月28日,武汉大学第十届杰出校友,美国艺术与科学院院士、世界计量经济学会会士、耶鲁大学经济系MalcolmK.Brachman冠名教授陈晓红做客珞珈讲坛第383讲,带来题为《经济学研究中

新闻网讯(通讯员药轩)6月4日,AdvancedScience以ResearchArticle形式在线发表武汉大学药学院刘天罡教授团队联合国民核生化灾害防护国家重点实验室蒋辉研究员团队、武汉大学药学院沈坤副教授团队、天津大

武汉大学/芝加哥大学联合培养博士后陈黎在CellResearch发表RNA甲基化测序新方法新闻网讯(通讯员药轩)武汉大学药学院邓子新院士团队和芝加哥大学化学系ChuanHe教授团队合作,在CellResearch(一区,IF=44

新闻网讯(通讯员药轩)6月2日,武汉大学药学院陈子林教授团队在国际知名期刊ChemicalEngineeringJournal(IF=16.744)在线发表了题为“Tailoringalbumin-basedtheranosticPROTACsnanoparticlesforenhancedN

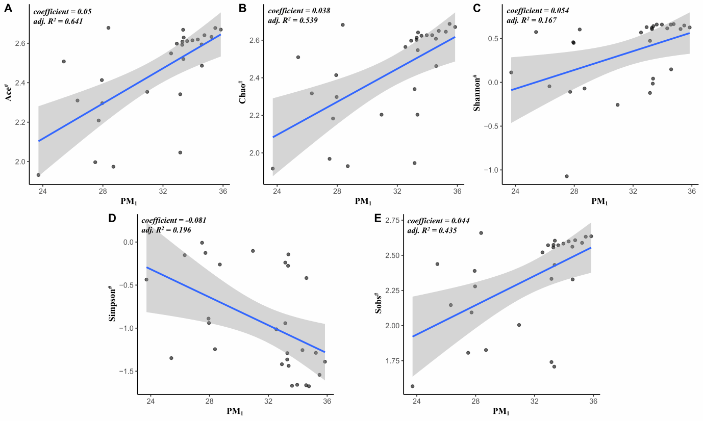
新闻网讯(通讯员护轩)近日,环境科学期刊EnvironmentalResearch发表了护理学院副教授刘燕群课题组最新研究成果。该研究发现妊娠期PM1暴露会显著影响母亲和新生儿的肠道菌群,特别是对新生儿胎粪菌群的多
